Macaulay Duration: Definition, Formula, Immunisation and Portfolio Applications

Macaulay Duration was introduced in 1938 by Frederick Macaulay, an economist studying long-run movements in US bond yields. His insight was that maturity is a poor proxy for interest rate risk — two bonds maturing on the same date can behave completely differently when rates change, because the distribution of their cash flows over time is different. The metric he proposed to capture this — a weighted average of the times at which cash flows are received — became one of the foundational tools of fixed income analysis and remains in daily professional use nearly ninety years later.

This article covers how Macaulay Duration works mathematically, what its properties are, why it forms the theoretical basis for immunisation, how to aggregate it across a portfolio, and how it changes over the bond’s life — the problem of duration drift.

👉 Calculate Macaulay Duration and Modified Duration instantly with our free Bond Duration Calculator

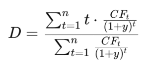
The Macaulay Duration Formula — Step by Step

Consider a 4-year annual coupon bond:

Face value: $1,000

Coupon rate: 6%

YTM: 5%

Price: $1,035.46 (trading at premium since coupon > yield)

YearCash flowPV at 5%Weight (PV / Price)t × Weight
1$60$57.140.05520.0552
2$60$54.420.05260.1051
3$60$51.830.05010.1502
4$1,060$872.070.84223.3687
Total $1,035.461.00003.679

Macaulay Duration = 3.679 years

The bond matures in 4 years but its duration is only 3.679 — the investor effectively recovers the present value of their investment after 3.679 years, not at maturity. The large principal payment in year 4 dominates the weighting (84.22%), but the coupon payments in years 1–3 pull the weighted average forward from the 4-year maturity.

Duration Properties — What Drives Duration Higher or Lower

Understanding how each bond characteristic affects duration allows you to anticipate changes without recalculating.

Maturity

Longer maturity always increases duration, all else equal. The further out the principal repayment — the single largest cash flow — the more it dominates the time-weighting. For a zero-coupon bond, the principal is the only cash flow, and duration equals maturity exactly.

Zero-coupon proof: For a zero-coupon bond with maturity n: D_mac = n × PV(Face Value) / Bond Price = n × Bond Price / Bond Price = n

This is the only case where duration and maturity are equal.

Coupon rate

Higher coupons shorten duration. When a bond pays large coupons, more of the bond’s total value is received in the near term — the weight shifts away from the distant principal payment. A 10% coupon bond maturing in 10 years has substantially lower duration than a 2% coupon bond with the same maturity, because the high-coupon bond’s cash flows are concentrated much earlier.

Yield to maturity

Higher yields shorten duration. Increasing the discount rate reduces the present value of all future cash flows, but it reduces the present value of distant cash flows disproportionately. This shifts the weighting toward earlier payments, pulling duration closer to the present. Conversely, when yields are very low, distant cash flows retain high present values and duration extends toward maturity.

The sensitivity of duration to yield is significant. A 30-year government bond at 2% yield has substantially higher duration than the same bond at 7% — the low-yield environment amplifies interest rate risk across all long-duration fixed income.

Summary of directional relationships

Factor increasesEffect on Macaulay Duration
Maturity ↑Duration ↑
Coupon rate ↑Duration ↓
Yield ↑Duration ↓
Coupon frequency ↑Duration ↓ slightly

The Immunisation Theorem — Why Duration Matching Works

Immunisation is a bond portfolio strategy that protects a specific target amount against interest rate changes over a defined investment horizon. The theoretical foundation rests on a precise relationship between Macaulay Duration and interest rate risk that is worth understanding properly.

The problem immunisation solves

An investor has a liability to pay $1,000,000 in exactly 7 years. They want to invest today in a bond portfolio that will be worth at least $1,000,000 in 7 years regardless of what happens to interest rates. The challenge: bonds face two opposing risks when rates change.

Price risk: If rates rise, bond prices fall. Selling bonds before maturity realises a capital loss.

Reinvestment risk: If rates fall, coupon receipts are reinvested at lower rates, reducing total accumulated value.

These two risks move in opposite directions. A rate rise hurts price but benefits reinvestment returns. A rate fall helps price but hurts reinvestment returns. Immunisation exploits this opposition.

The theorem

If the Macaulay Duration of the bond portfolio equals the investment horizon, price risk and reinvestment risk approximately offset each other for small parallel yield shifts. The portfolio’s accumulated value at the horizon date is protected against interest rate moves.

The mathematical intuition: at the duration date, the gain from reinvesting coupons at a higher rate (if rates rose) exactly compensates for the capital loss on the remaining bond value. Conversely, the capital gain from falling rates compensates for reduced reinvestment income.

A simple immunisation example

An investor has a 5-year horizon and wants to guarantee $1,000,000. They buy a bond with Macaulay Duration of exactly 5 years. If rates rise 1% immediately:

  • Bond price falls (capital loss on remaining cash flows)
  • Coupons received early are reinvested at higher rates

At the 5-year horizon date, the gain from higher reinvestment rates offsets the capital loss, leaving the accumulated value approximately equal to the target. If rates fall, the opposite occurs with the same offsetting result.

Limitations of immunisation

Single-period immunisation works precisely only for:

Small, parallel yield curve shifts

A single liability at a known future date

Continuous rebalancing as duration drifts

For multiple liabilities, non-parallel shifts, or when immunisation cannot be continuously maintained, more sophisticated cash flow matching or liability-driven investment (LDI) strategies are required.

Duration Drift — Why Portfolios Need Rebalancing

Duration changes continuously, even without any change in yields. This is called duration drift, and it is a critical practical problem for anyone using duration to manage risk.

How duration drifts with time

As a bond ages, each cash flow moves one day closer. The weighted average time shortens. But — and this is the key — it does not shorten at a uniform rate. Duration falls more slowly than calendar time passes.

For a coupon bond, each day that passes reduces the bond’s remaining life by one day, but duration typically falls by less than one day. This means the bond’s duration shortens more slowly than its maturity. A bond that starts with a 7-year duration and a 10-year maturity will not have a 3-year duration when 4 years have passed — it will have a duration closer to 3.5 or 4 years, depending on the coupon structure and yield environment.

How duration drifts with yield changes

Every time yields change, the present-value weighting of each cash flow changes, which changes duration. A rise in yields reduces duration; a fall increases it. For a large bond portfolio, a 50 basis point yield move can shift portfolio duration by 0.5 to 1 year — enough to meaningfully change the portfolio’s risk profile.

Practical consequences

Any duration-based risk target requires regular recalculation and rebalancing. A portfolio immunised against a 7-year liability today will not remain immunised in 6 months if it is not rebalanced. In practice, institutional investors running LDI strategies rebalance duration exposure monthly or whenever duration drifts beyond a defined tolerance band — typically ±0.25 years from target.

Portfolio Duration — Aggregating Across Multiple Bonds

The Macaulay or Modified Duration of a bond portfolio is the market-value-weighted average of the individual bond durations.

Portfolio Duration = Σ (wi × Di)

Where:

  • wi = market value of bond i / total portfolio market value
  • Di = duration of bond i

Example: A portfolio with three positions:

BondMarket valueDurationWeightContribution
Treasury 2-year$500,0001.920.250.480
Corporate 7-year$800,0005.870.402.348
Treasury 20-year$700,00013.450.354.708
Portfolio$2,000,000 1.007.536

Portfolio Modified Duration = 7.536

A 1% rise in yields reduces this portfolio’s value by approximately 7.54%, or $150,720 on a $2,000,000 portfolio.

Using portfolio duration for hedging

The portfolio duration tells you how much rate exposure you carry. If you want to reduce duration from 7.54 to 5.0, you can sell longer-duration bonds and buy shorter-duration bonds, or use interest rate futures (which have their own implied duration) to achieve the target without changing the cash bond holdings.

This is precisely how fixed-income portfolio managers execute duration overlays — adjusting the portfolio’s rate sensitivity without altering the underlying credit or sector exposure.

Macaulay Duration and the Zero-Coupon Yield Curve

One technically important application of Macaulay Duration is its role in connecting coupon bond yields to the theoretical zero-coupon (spot rate) yield curve.

A coupon bond is equivalent to a portfolio of zero-coupon bonds — one for each cash flow date. Its Macaulay Duration is the weighted average maturity of this zero-coupon portfolio. This means the yield of a coupon bond is, in theory, a weighted average of spot rates where the weights are determined by the bond’s duration-weighted cash flows.

When the yield curve is steep, long-duration bonds embed a significant yield premium over short-duration bonds, even with identical maturities, because a higher-duration bond places more weight on longer-dated spot rates. This is why a 5% coupon 10-year bond and a 2% coupon 10-year bond have different yields in a non-flat yield curve environment — their different durations mean they weight the yield curve differently.

Frequently Asked Questions

No. Maturity is the date of the final cash flow. Macaulay Duration is the weighted average time of all cash flows, based on their present values. Duration is always shorter than maturity for coupon bonds because coupon payments received before maturity pull the weighted average earlier. Only for zero-coupon bonds, which have a single cash flow at maturity, does duration equal maturity.

No. For standard fixed-rate bonds, duration is always equal to or less than maturity. The maximum duration for a given maturity is achieved by a zero-coupon bond, where duration equals maturity exactly.

Duration is a measure of interest rate sensitivity — the higher the duration, the more a bond’s price changes for a given yield move. In rising rate environments, short-duration bonds lose less value than long-duration bonds. Investors who anticipate rate rises reduce portfolio duration to protect against capital losses; those anticipating rate falls increase duration to maximise price appreciation.

Modified Duration is derived directly from Macaulay Duration: Modified Duration = Macaulay Duration / (1 + YTM/n). While Macaulay Duration measures the time-weighted centre of cash flows in years, Modified Duration measures the portfolio’s percentage price sensitivity. Macaulay Duration is used for immunisation. Modified Duration is used for risk management and price change estimation.

When a coupon is paid, the cash flow that was closest on the time horizon disappears. This can cause a small jump upward in duration — because the near-term cash flow that was pulling duration short has been removed. Between coupon dates, duration shortens gradually with passing time. At each coupon payment, duration takes a small step up before continuing to shorten again.

Not directly. Macaulay Duration assumes fixed, predictable cash flows. Callable bonds can be redeemed early, MBS experience prepayments, and putable bonds can be tendered back to the issuer — all of which alter the actual cash flow timeline. For these instruments, Effective Duration is the appropriate measure. Macaulay and Modified Duration systematically misstate interest rate risk when cash flows are variable.

Calculate Macaulay Duration Instantly

👉 Use the free Bond Duration Calculator to calculate Macaulay Duration and Modified Duration for any fixed-rate bond. Enter coupon rate, YTM, maturity date and frequency for an instant result.

Related Guides and Tools

Modified Duration Explained — how Modified Duration measures price sensitivity, DV01, hedge ratio mechanics and when it breaks down

Effective Duration Explained — for bonds with embedded options where Macaulay Duration is not a valid risk measure

Zero-Coupon Bond Yield Calculator — zero-coupon bonds are the only instruments where Macaulay Duration equals maturity by definition

Bonds and Fixed Income Fundamentals — the complete structural guide to fixed income markets, yield curves and bond pricing